植物生長調節劑COR冠菌素的產業化和應用突破 (冠菌素在柑橘應用) 分享
發布時間:2023-06-20 17:06:37 訪問量:
近年來極端天氣越來越頻繁的出現,加劇非生物脅迫對全球農業生產的不利影響。干旱、高溫、冷害、鹽害等非生物脅迫限制了農作物的正常生長,使作物生長受到抑制,幼苗耐性下降,植株抗病能力、營養生長和生殖生長均受到嚴重損害,最終造成農作物產量損失和品質下降。
植物生長調節劑在誘導農作物提高抗逆性中應用廣泛。但多數植物生長調節劑功能單一,且對濃度使用要求嚴格。茉莉酸類信號分子調控劑Coronatine (COR) 冠菌素的發現,對提高糧食安全、保障全球農業健康綠色可持續發展具有重要意義。
細菌毒素通常是微生物的次級代謝產物,這些活性物質能夠干擾植物細胞的正常生理功能或直接殺死細胞。植物病原體利用一系列細菌毒素來抑制宿主防御以達到感染宿主目的。1977年Ichihara等從丁香假單胞菌絳紅致病變種(Pseudomonas syingaepv. atropurpurea)培養液中分離出一種化合物,是能夠在多種植物中引起萎黃病的非宿主特異性細菌毒素,并將其命名為Coronatine(COR)。通過多年的研究,研究人員發現冠菌素COR與脫落酸、茉莉酸有類似的功能,具有調節生長、抑制衰老、促進細胞分化、提高葉綠素含量和植物抗逆性等生理功能。
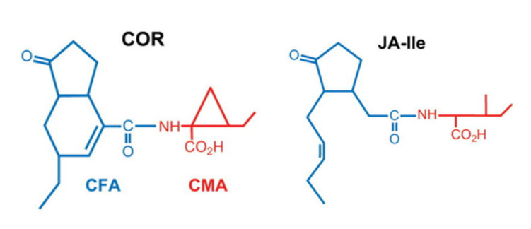
冠菌素COR是植物激素茉莉酸甲酯(MeJA)的類似物(圖1),作為一種環境友好型的生物源植物生長調節劑,冠菌素COR只需要極低的濃度就可以起作用,生物活性是茉莉酸甲酯的100~10000倍。冠菌素信號分子能夠通過茉莉酸途徑調節植物生長發育和逆境脅迫等眾多生理生化過程,在脫葉、控旺、除草、促進轉色、增糖、低溫種子萌發、抗逆、抗病、抗蟲等方面有寬廣的應用前景。

圖1. 冠菌素和茉莉酸甲酯的結構比較
成功建立冠菌素發酵生產線
自從冠菌素被發現后,如何獲得冠菌素純品一直是植物激素領域研究的熱點。由于其合成工藝復雜,成本高,難以進行工業化生產,冠菌素的利用也因此受到嚴重限制。
成都新朝陽和中國農業大學植物生長調節劑教育部工程研究中心歷經近20年的科研攻關,獲得了冠菌素產業化生產的一系列成果:應用轉座子誘導突變、基因重組等方法構建了冠菌素的高產基因工程菌,比國內外報道的產率水平提高5~10倍以上;建立并優化了發酵工藝,經5噸和20噸液體發酵條件下試生產,發酵周期縮短至7~8 d;建立了膜過濾和活性炭吸附的規模化濃縮與精制工藝,發酵液通過超濾膜和納濾膜,去除菌體和大分子蛋白等雜質,得到的冠菌素濃縮液,用于制劑制備;通過在濃縮液中加入活性炭,進行吸附和解吸附可進一步制得含量50%以上的冠菌素粗品和95%以上純品。
基于上述技術成果,2021年成都新朝陽在中國建立了冠菌素發酵生產線,從源頭上解決了冠菌素發酵效價和收率低的問題,從發酵、提取工藝、生產成本等方面已實現冠菌素的產業化生產,完全滿足規模化生產和應用推廣的需求。
在大田作物中獲得顯著提質增產效果
2013年5月,經中國標準化技術委員會審定,成都新朝陽牽頭獲得了全球中文通用名‘冠菌素’(COR)認定。在冠菌素的終端應用方面,新朝陽研究人員研制了0.006%冠菌素可溶液劑水基化綠色制劑,研制的制劑性能穩定,解決了生物調節劑的穩定性差難題;通過不斷開發應用場景,發現了冠菌素提高作物抗鹽、抗干旱、抗高(低)溫和抗病等(非)生物逆境以及延緩棉花生長、促進脫葉催熟新效應,建立了大田作物應用的關鍵技術,使冠菌素同時具備了產業化生產和大田應用的條件。
2021年9月3日,農業農村部農藥檢定所(ICAMA,Institute for the Control of Agrochemicals,MOA)批準新朝陽提交的98%冠菌素原藥和0.006%冠菌素可溶液劑登記申請,這意味著冠菌素這一跨時代的新型植物生長調節劑獲得正式登記。目前,成都新朝陽已將0.006%冠菌素可溶液劑產品成功推向市場。
目前,冠菌素在大豆、玉米、棉花、小麥、水稻等多種大田作物的應用中取得顯著的提質增產效果。冠菌素種子包衣促進大豆低溫條件下出芽、壯苗。室內萌發實驗結果顯示,使用0.006%COR搭配種衣劑包衣處理大豆可以促進5℃低溫條件下大豆種子萌發率,提高豆苗根系活力。冠菌素搭配大量元素水溶肥及種衣劑在大豆上集成配套使用,可以提高大豆抗低溫能力,提高大豆出苗率;且對大豆根腐病有較好防治效果,對大豆褐紋病、耙點病以及大豆蚜有一定的防控效果。

圖2 冠菌素包衣處理對大豆萌發率的影響

圖3 冠菌素包衣處理對大豆萌發率的影響
在棉田高鹽脅迫條件下,使用0.1 μmol/L的冠菌素能降低棉葉中過氧化氫含量,減少葉片受損;棉花種子經0.01 μmol/L的冠菌素浸泡12小時后,能提高鹽脅迫下種子的活力,促進萌發出苗和幼苗生長,增強棉花幼苗的耐鹽。冠菌素制劑在棉花上的大田增產試驗結果顯示:冠菌素處理小區的植株莖粗、棉鈴數和鈴重均有所提升。

圖4 冠菌素處理對棉花耐鹽能力的影響
冠菌素在水稻上可分別在播種前拌種、破口期和齊穗期噴施使用,水稻大田示范試驗結果顯示,冠菌素處理小區水稻出苗率更高,幼苗更粗壯,成熟期稻米穗長增加,單穗粒數增多,畝產提升18%,稻米的整精米率、直鏈淀粉含量和蛋白質含量也有所提升。

圖5 冠菌素對水稻穗長的促進效果

圖6 冠菌素對水稻的提質增產試驗分析結果
除大田外,新朝陽冠菌素在促進柑橘、葡萄、番茄、蘋果等轉色增糖方面建立了明確的應用技術,可有效促進果實均勻轉色,平均提高糖度2°,提前7-10天成熟上市,在脫葉、除草等領域正在進行持續的深入研究及轉化應用。
未來,冠菌素的創新應用將在提高全球糧食安全、農產品產量和品質中發揮積極和廣泛的作用,在全球范圍內掀起新一輪科技創新帶動農業生產技術進步的新浪潮,也必將在世界范圍內解決糧食危機、糧食產量和糧食安全上發揮持續而巨大的作用。
特別聲明:以上內容(如有圖片或視頻亦包括在內)轉自網絡,刊登本文僅為傳播信息之用,絕不代表贊同其觀點或擔保其真實性,若有來源標注錯誤或侵犯了您的合法權益,請與本網聯系,我們將及時更正、刪除,謝謝。
中文
EN


